2025. 4. 4. 10:25ㆍElectronic Warfare/EW Technology
여기서는 ELINT 시스템의 탐지확률(Probability of Intercept) 개념에 대해 알아본다. 본 내용은 책 ELINT, The Interception and Analysis of Radar Signals에 나와 있는 내용이다.
개 요
POI(Probability of Intercept)는 EW 감시 및 정찰 시스템의 핵심적인 특징 중 하나이며 이는 스캐닝 안테나나 sweeping, stepping 수신기, 그리고 주파수 agile 에미터와 같은 두 개 또는 그 이상의 "window function"의 동시 시간 확률과 관련이 있다.
공간적 도메인에서 위상배열 기술은 pseudo-random한 방식으로 공간을 스캔할 수 있으며 이러한 레이다 시스템은 보통 다중의 기능을 수행한다.
기계적인 스캐닝을 하는 레이다 시스템은 모드를 바꾸거나 특정한 추적 모드로 변경할 때에 EW 설계자들에게는 더욱 유용한 인텔리전스를 제공한다.
그러나 다기능의 위상 배열 레이다는 이러한 기회를 감소시키며 따라서 인터셉트가 더욱 어려워진다.
또한 방사 제어와 같은 운영적 측면이 포함된 시간 도메인은 인터셉트를 하기 위해 필요한 시간이 더욱 증가한다.
주파수 도메인에서 송신 신호 파라미터의 agility는 신호 인터셉트에 직접적인 영향을 주며 저출력 주파수 변조 연속파 신호 (FMCW)는 EW 설계자들로 하여금 신호 인터셉터에 더 많은 시간을 필요로 하게 만든다.
결과적으로 EW 시스템 설계자들은 단일 펄스나 펄스 burst 인터셉트 기능 구현을 위한 구조 설계에 많은 도전과제들을 가지고 있다.
수학적 모델
POI 계산에서 많이 사용되는 기법은 Self와 Smith 기법이며 이는 두 개 이상의 window function을 사용하는 것이고 넓은 범위의 상황에서 꽤 정확한 인터셉터 시간을 예측할 수 있다.
다음의 그림은 window function에 의한 수신과 송신 활동을 표현한 것이다.

여기서 중요한 가정은 각 window function은 독립적이란 것이다.
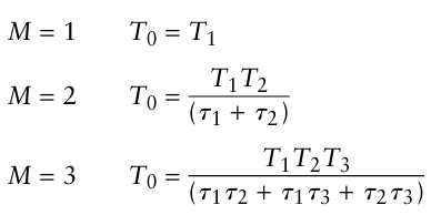
동시에 존재하는 window의 숫자는 M이고 window의 평균 주기는 T0이며 다음의 식으로 표현된다.

그리고 M이 1, 2, 3일 때 T0는 다음과 같다.

여기서 T1, T2, T3는 각 window function의 주기이며 τ1, τ2, τ3는 각 window function이 열리는 시간이다.
T 시간 동안 최소 한 개의 신호가 인터셉트될 확률은 다음과 같다.

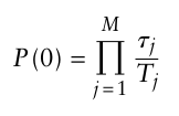
여기서 K=1-P(0)이며 P(0)는 첫 번째에서 인터셉트가 일어날 확률이며 다음과 같다.

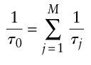
모든 M개의 window function에서 동시에 겹치는 평균 τ0는 다음과 같이 표현된다.

M이 1,2,3일 때는 다음과 같다.

Fast Step-Scan 수신기 예
방위 방향으로의 탐색이 필요치 않는 광대역 빔 수신 안테나를 갖는 fast step-scan 수신기를 고려해 본다.
탐색 주파수 대역은 2,000 MHz이며 이 대역을 10 MHz 단위로 200개 스탭으로 탐색한다.
아래의 테이블과 같이 2개의 window function 시스템에서 평균 인터셉트는 앞에서의 식을 사용하면 17.74 초가 되며 평균 인터셉트 지속 시간 역시 앞에서의 식을 이용하여 구하면 4.93 x10-4 초가 된다.

또한 평균 일치율은 위의 식을 이용하여 2.78 x 10-5 초가 된다.
이는 결국 90%의 탐지 확률을 갖는 탐색 시간은 40.85초가 된다는 결론을 지을 수 있다.
이 시스템이 다음의 테이블과 같이 변경되면 평균 인터셉트 시간은 277.13 초가 되고 평균 인터셉트 지속 시간은 7.69 ms, 평균 일치율은 2.78 x 10-5 초가 된다.
90%의 탐지확률을 갖기 위한 탐색 시간은 638.12초 즉, 10.64분으로 증가한다.

여기서 수신기의 sweep 시간을 늘리면 신호를 인터셉트하기 위한 시간은 증가한다는 것을 확실히 알 수 있다.
다음은 회전하는 안테나를 갖는 3개의 펄스 열 시스템을 고려해 보자
수신기는 주파수뿐만 아니라 각도에 대한 탐색을 하며 송신기 역시 원형 스캔을 한다.
다음의 테이블을 참조하여 평균 인터셉트 시간은 5,423초(약 1.5시간)로 크게 증가하며 평균 인터셉트 지속 시간이 1.266 x 10-6 초가 되고 90%의 탐지확률을 갖는 탐색 시간은 3.47 시간이 된다.

이를 다시 더 느려진 sweep 수신기로 가정하면 아래의 테이블과 같고 7.35 시간의 평균 인터셉트 시간과 2.02 x 10-5초의 평균 인터셉트 지속시간, 그리고 90%의 탐지확률을 위해서 16.92 시간만큼의 탐색 시간이 필요하게 된다.

펄스열이 3개로 증가한 경우를 예제로 다뤄본 이유는 하나 또는 그 이상의 펄스열을 삭제해야 하는 이유를 설명하기 위함이다.
높은 감도의 수신기 또는 수신기단에서의 강한 신호는 에미터 안테나의 사이드로브나 백로브를 통한 신호 수신이 가능하기 때문에 송신 안테나 스캔 펄스 열을 삭제 가능하게 만든다.
가장 좋은 감도는 협대역 swept 수신기와 좁은 빔폭 수신 안테나를 통해 효율적으로 달성하는 것이다.
따라서 수신기단에서 두 개의 탐색 프로세스를 갖음으로써 인터셉트 확률 계산 시 송신기의 스캔을 제거할 수 있는 가능성을 열어준다.
그러나 여기서 펄스 열 간의 synchronism 영향성에 대해서 자세하기 다루지 않았다.
이제까지의 예는 T1,2,3의 값들 간에 관계를 명확하게 식별할 수 있었다.
따라서 두 개의 펄스 열 시스템을 예를 들면, 만약 한 펄스 열이 harmonically 하게 다른 펄스 열과 관련이 있다면 두 펄스 열은 synchronism 하거나 또는 그렇지 않을 것이다.
만약 후자라면 인터셉트는 일어나지 않을 것이며 전자라면 synchronism이 일어나고 알고 있는 위치에서 인터셉트가 일어날 것이다.
일반적인 펄스 열에서는 한 번 첫 인터셉트가 일어나면 펄스 열 간에는 고정된 관계가 있다는 것을 주목할 필요가 있다.
이러한 경우에서 ESM 시스템은 지향성 안테나를 적용하여 인터셉트 확률을 향상할 수 있을 것이다.
출처 : ELINT, The Interception and Analysis of Radar Signals
'Electronic Warfare > EW Technology' 카테고리의 다른 글
| Pulse Repetition Interval Analysis - (2) (1) | 2025.04.27 |
|---|---|
| Pulse Repetition Interval Analysis -(1) (1) | 2025.04.13 |
| 미래 레이다 설계에 따른 ELINT 개발 (0) | 2025.04.02 |
| Communication Electronic Attack - (2) (1) | 2025.03.16 |
| Communication Electronic Attack - (1) (1) | 2025.03.12 |