2021. 5. 8. 17:19ㆍElectronic Warfare/EW Technology
재밍 신호가 상대 레이다에 대해 어느 정도의 효과가 있는 지를 분석하는 방법 중 기본이 되는 것에는 Burn-Through Range 분석과 레이다 탐지 확률 분석이 있다.
여기서 Burn-Through Range와 자체보호용 재머(Self Protection Jammer)에 의한 레이다 탐지 확률의 변화에 대해 간략히 알아보겠다.
[Burn-Through Range]
재밍 신호가 존재하지 않는 조건에서 레이다가 특정 RCS(σ)를 갖는 표적을 탐지할 때의 레이다 방정식은 아래와 같다.

이 레이다 방정식을 레이다가 수신하여 처리할 수 있는 최소 신호 레벨인 신호대 잡음 비 (S/N Ratio, Signal-to-Noise Ratio)로 다시 정리하면 아래와 같다.

여기서,

여기에 재밍 신호가 포함되면 이제부터는 재밍대 신호 비인 J/S(Jamming-to-Signal) 비가 더 중요하게 된다.
다시 J/S 비를 설명하면, 레이다가 재밍신호를 수신하는 전력인 J와 표적으로부터 반사된 신호를 수신하는 전력 S의 비를 의미하며 아래의 수식과 같다.


여기서,

위의 식에서 Pj와 Gj의 곱은 재머의 유효방사출력(ERP, Effective Ratiated Power)이 되고 Pt와 Gt의 곱은 레이다의 ERP가 된다.
또한, Gr(Θ)는 재밍신호를 수신하는 레이다의 각도에 따라 수신 이득이 달라지기 때문에 표현된 것이며 자체 보호용 재머나 escort 재머는 레이다의 주 빔으로 수신되므로 여기서는 Gr과 동일하다.
레이다가 수신하는 재머의 신호 전력 J와 표적으로부터 반사된 수신 신호 전력 S가 같을 때의 레이다와 재머간의 거리 지점을 Crossover Range라 한다.
다음의 그림처럼 레이다가 수신하는 표적 신호의 전력은 레이다 신호가 표적까지 갔다가 돌아오는 신호의 세기이므로 two way loss가 발생하여 거리의 ¼ 관계로 신호 세기가 줄어들지만 재밍 신호를 수신하는 전력은 재머에서 방사한 재밍 신호를 레이다에서 수신하는 것이므로 one way loss가 발생하고 거리의 ½ 관계로 신호 세기가 줄어든다.

위의 그림에서 두 라인이 교차하는 지점이 Crossover Range이며 약 5Km 지점이다.
여기서의 거리는 레이다와 재머간의 거리이며 이 Crossover Range를 중심으로 더 가까워진 거리부터는 표적 수신 신호의 세기가 재밍 신호보다 더 커진다.
즉, 레이다 입장에서 재밍신호가 존재하지만 레이다 표적에 맞도 되돌아온 신호의 세기가 더 커지므로 레이다는 표적을 탐지할 수 있게 된다.
이렇게 재밍신호 조건에서 재밍을 뚫고 표적을 탐지할 수 있는 거리를 Burn-Through Range라고 한다.
반대로는 Crossover Range부터 멀어지는 거리 범위는 레이다가 재밍에 영향을 받는 범위가 된다.
그러나 실제로 레이다를 재밍하기 위해서 재밍신호는 레이다 표적 신호의 세기보다 어느 정도 커야 한다.
이를 J/S required로 표현하고 그 크기는 아래의 표와 같이 재밍 기법과 레이다 타입에 따라 다르다.

위의 표에서 보면 Monopulse 레이다를 Cross-Polarization 기법으로 재밍을 하기 위해서는 재밍 신호의 세기가 레이다 표적 신호의 세기보다 20~40dB 정도는 커야 효과가 있음을 의미한다.
또한, 위의 표 처럼 대부분 재밍 신호가 레이다 표적 신호보다 커야 재밍이 가능하므로 Burn-Through Range 측면에서는 J와 S가 같은 지점인 Crossover Range 보다 사실은 더 먼 거리부터 Burn-Through Range 범위에 들어간다고 볼 수 있다.
재밍의 효과 측면에서 보면, Burn-Through Range를 최소화하는 방향으로 파라미터를 맞추는 것이 재밍의 효과가 높아지는 것이다.
RCS 파리미터를 예를 들면, RCS는 재밍 신호 출력과 비례관계에 있다.
재머를 장착한 항공기의 RCS가 0.1% 줄어들면 자체 보호 재머의 재밍 신호 출력도 0.1% 줄여도 레이다에 대한 재밍 효과는 동일하다.
다르게 표현해보면, 라팔 전투기의 RCS가 0.1m2(-10dBsm)이라하고 F-35가 0.001m2(-30dBsm)이라 할 때에 라팔 전투기가 레이다 재밍을 위해 100KW의 재밍 출력이 요구된다면 F-35는 오직 1KW의 재밍 출력으로 라팔 전투기와 동일한 재밍 효과를 얻을 수 있다는 의미가 된다.
[레이다 탐지 확률]
재밍의 효과에 대한 기본적인 분석에는 앞에서의 Burn-Through Range 분석과 함께 레이다의 표적 탐지확률을 분석하는 방법이 있다.
다시 얘기하면, 재밍이 없는 조건에서 거리에 따른 레이다의 표적 탐지 확률이 재밍이 있는 조건이 되면 얼마큼 감소하는지를 분석하는 것이다.
예를 들면, 재밍이 없는 조건에서 특정 레이다 파라미터를 갖는 레이다의 거리에 따른 표적 탐지 확률은 아래의 그림과 같다.

보통 탐지확률 85%~90%를 기준으로 레이다의 탐지거리를 정의하는데, 위의 그림에서는 RCS 15dBsm일 때의 탐지거리는 약 64km 정도가 되며 RCS에 따라 RCS가 크면 탐지거리가 증가하고 RCS가 작으면 탐지거리가 줄어듬을 알 수 있다.
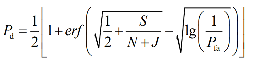
여기에 재밍신호가 존재할 때의 레이다 탐지 확률은 다음의 식을 통해서 확인할 수 있다.

앞에서의 레이다 파라미터는 동일하고 재머 조건을 가정하여 재밍 신호가 있을 때의 레이다 탐지 확률은 구해보면 아래의 그림과 1km 이내로 탐지거리가 줄어들게 된다.

이렇듯 재밍에 의한 레이다 탐지 확률 변화를 분석하여 기본적인 재머 시스템 파라미터 설계가 가능하다.
[Burn-Through Range와 레이다 탐지 확률 분석 예]
아래는 앞에서 언급한 수식들을 통해 Burn-Through Range와 레이다 탐지 확률 영향성을 분석하는 프로그램을만든 것이다.
프로그램은 Python과 QT Designer를 이용해 만든 것이며 조만간 관련 내용은 Python 카테고리에 올릴 예정이다.
아래의 그림과 같이 각 레이다 파라미터와 재머 파라미터를 입력하여 Burn-Through Range와 거리에 따른 레이다 탐지 확률을 예측해 볼 수 있다.

위의 경우, 그림에서 볼 수 있는 파라미터 셋팅으로 예측한 결과는 Burn-Through Range가 레이다와 재머 간 거리 약 300m 이내가 되고 이때의 레이다 탐지거리는 확률이 90%인 지점 약 40m가 된다.
RCS를 증가 시키면서 결과의 변화를 살펴보면 아래 그림과 같다.

이 프로그램을 통해 레이다의 파라미터와 재머의 파라미터를 바꿔가면서 기본적인 재밍 성능 예측을 해볼 수 있다.
[결 론]
레이다에 대한 재밍의 기본적인 성능을 분석하거나 예측해볼 때에 Burn-Through Range와 레이다의 탐지 확률 변화를 분석해 본다.
보통 레이다는 표적 신호가 거리의 ¼ 로 줄어들고 재밍 신호는 거리의 ½ 로 줄어들기 때문에 레이다와 재머간 거리가 먼 지점에서는 재밍이 유리하다.
그러나 레이다와 근접해서부터는 표적 신호가 강해지므로 재밍을 가해도 레이다는 표적을 탐지할 수 있는 Burn-Through Range 구간이 생긴다.
재머를 탑재한 항공기는 레이다에 탐지되지 않으면서 최대한 가까이 근접할 수 있게 해야 하므로 이 Burn-Through Range를 최대한 짧게 하거나 레이다의 탐지 확률을 떨어뜨리도록 설계한다.
Burn-Through Range를 짧게 하기 위해서는 재머 시스템 측면에서 유효방사출력을 높이거나 재밍 기법 최적화를 통해 재밍에 필요한 J/S 비를 낮추는 것이 있겠고 항공기 측면에서 항공기의 RCS를 최소화하는 것이 있다.
레이다의 탐지 확률에 영향을 주는 재머의 파라미터에는 앞의 유효방사출력과 RCS 외에 재밍 대역폭이나 레이다 안테나 편파와 재머 안테나 편파의 차이에서 오는 polarization loss, 기타 재머 시스템 loss가 있다.
'Electronic Warfare > EW Technology' 카테고리의 다른 글
| Airborne EW Suite (3) | 2021.06.20 |
|---|---|
| MMW 대역의 5G 통신 안테나 성능 (6) | 2021.06.13 |
| Chaff / Flare 의 효과도 결정 인자 (1) | 2021.03.28 |
| Microwave Photonics Radar 특징 (0) | 2021.02.07 |
| AESA 레이다 재밍에 대하여... (2) | 2020.12.06 |