2020. 10. 1. 20:19ㆍElectronic Warfare/EW Technology
수십 년 동안 고출력의 전자전 공격 시스템을 이용한 Stand-off jamming은 적의 레이다 유도 무기의 사정거리 밖에서 우군의 전투기를 보호하는 역할을 해왔다.
그러나 차세대 위협의 특징은 기존의 위협 시스템의 치명 거리(Lethal Range)보다 훨씬 더 긴 치명 거리를 갖는 특징이 있으며 이는 레이다 유도 무기 시스템의 치명 거리 밖에서 효과적으로 동작하는 Support Jammer 시스템에 도전이 되고 있다.
Support Jamming 항공기는 일반적으로 여러 위협 레이다의 부엽(Side Lobe) 방향으로 재밍 신호를 송출하기 때문에 더 먼 거리에서 재밍을 해야 하는 것은 support Jammer의 효과도를 떨어뜨리게 된다. 즉, 효과적인 재밍을 위해 재머는 위협 레이다에 더 가까이에 접근하여 운용되어야 한다는 것을 의미한다.
[Escort Jamming]
아래 그림에서 보듯이, 재머를 가지고 있는 항공기가 보호를 받는 형태로 위치하고 있다면 위협 레이다의 주빔(Main Beam)이 이 형태를 직접 가리키고 있기 때문에 위협 레이다로의 재밍은 효과적이게 된다.

그러나 일반적으로 외장형 재머 포드를 장착한 support Jamming 항공기는 큰 RCS(Radar Cross Section)을 갖게 되고 적의 무기 시스템으로부터 표적이 되기 쉽다.
만약 Escort Jammer가 파괴된다면, 더 이상 우군 편대의 support jamming 보호가 불가능하므로 남은 항공기들은 위협 돌파를 위해 자체 보호 재머 시스템에 의존해야 한다.
[Modified Escort Jamming]
아래 그림에서 보듯이, jamming 항공기가 위협 레이다의 보어사이트(boresight)에 가까이 위치한다면 레이다가 수신하는 재밍 전력은 레이다의 부엽 방향으로 재밍 하는 stand-off jamming에 비해 훨씬 크다.

보호를 위해 재머는 레이다와 연계된 무기의 치명 거리 밖의 거리를 유지한다. 이 기술을 “Modified Escort Jamming”이라고 부른다.
만약 최신 레이다가 미사일 치명 거리를 200km까지 제공하고 이에 비해 기존 미사일 치명 거리가 30km라면 재밍 대 신호 비(Jamming-to-signal ratio)는 16dB만큼 떨어진다고 볼 수 있다. 이는 우군 전투기에 적절한 재밍 보호를 제공하지 못한다.
그리고 만약, 재밍 신호가 위협 레이다의 부엽(Side Lobe)에 수신된다면 20dB 정도의 부엽(Side Lobe) 격리에 의해 보호 효과는 더욱 줄어들게 된다.
만약 재머가 위협 레이다의 보어사이트에 위치해 있다면 J/S 비는 20dB 정도 증가한다. 차세대 AESA 기반의 재머는 재밍 안테나 빔 폭이 좁으므로 재밍 효과도는 더욱 증가될 것이다.
[Modified Escort 위치 유지]
만약 아래의 그림과 같이 재머가 위협 레이다의 보어사이트로부터 벗어나 있다면 위협 레이다에 수신되는 재밍 전력은 줄어들 것이다.

이러한 오프셋 각도는 cross-range error라고 부르며 다음의 식으로 표현된다.

여기서,
θ는 보어사이트 각도로부터 오프셋 된 각도
CRE는 Cross-Range placement Error로서 km로 표현
RJ는 위협 레이다와 재머 간의 거리로서 km로 표현
아래의 그림을 보자. 위협 레이다 주빔(Main Beam) 안에서 이득 대 보어사이트로부터의 오프셋은 sin(x)/x 함수로 표현될 수 있다.

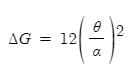
이득 대 보어사이트로부터의 오프셋 각도에 대한 이득 감소는 아래의 공식으로 정리될 수 있다.

여기서,
ΔG는 보어사이트로부터의 이득 감소량으로서 dB로 표현
θ는 위치 유지 에러로서 각도로 표현
α는 위협 레이다 안테나의 3dB 빔 폭으로서 각도로 표현
이 공식은 주빔(Main Beam) 이내에서만 유효하다는 것을 유의해야 한다. 신호가 부엽(Side-Lobe)에 있다면 이득 대 각도에 대한 데이터는 무반향실 시험(Anechoic Chamber Test)을 통해 확보되어야 한다.
아래의 그림은 보다 큰 규모의 교전 상황을 나타내었다.

Stand-off Jammer의 영향을 받을 수 있는 여러 개의 위협 레이다들이 있다. 그러나 Modified Escort 재머는 오직 장거리 차세대 레이다에만 방해를 하고 있다. 이 경우에 Modified Escort 재머는 이런 특정 위협에 집중할 수 있다. 다른 위협 레이다들은 다른 형태의 재머에 의해 처리된다.
Modified Escort 재머의 J/S 공식은 아래와 같다.

여기서,
ERPJ는 재머의 유효 방사 출력으로서 dBm으로 표현
ERPS는 위협 레이다의 유효 방사 출력으로서 dBm으로 표현
ΔG는 위협 레이다 보어사이트로부터 오프셋 된 각도에서의 이득 감소량
RJ는 재머와 위협 레이다 간 거리로서 km로 표현
RT는 보호되어야 하는 우군 항공기와 위협 레이다 간 거리로서 km로 표현
RCS는 보호되어야 하는 우군 항공기의 Radar Cross Section으로서 m2으로 표현
'Electronic Warfare > EW Technology' 카테고리의 다른 글
| AESA 레이다 재밍에 대하여... (2) | 2020.12.06 |
|---|---|
| 위협원 위치 탐지 – 수동 거리 측정 (Passive Ranging Techniques) (3) | 2020.10.02 |
| Electronic Countermeasure 장단점 (2) (3) | 2020.09.27 |
| Electronic Countermeasure 장단점 (1) (3) | 2020.09.27 |
| AOA (Angle-Of-Arrival) Measurement - 신호 방향 탐지 (2) | 2020.09.26 |